| « Siječanj 2026 » | ||||||
| Po | Ut | Sr | Če | Pe | Su | Ne |
| 29 | 30 | 31 | 1 | 2 | 3 | 4 |
| 5 | 6 | 7 | 8 | 9 | 10 | 11 |
| 12 | 13 | 14 | 15 | 16 | 17 | 18 |
| 19 | 20 | 21 | 22 | 23 | 24 | 25 |
| 26 | 27 | 28 | 29 | 30 | 31 | 1 |
| 2 | 3 | 4 | 5 | 6 | 7 | 8 |

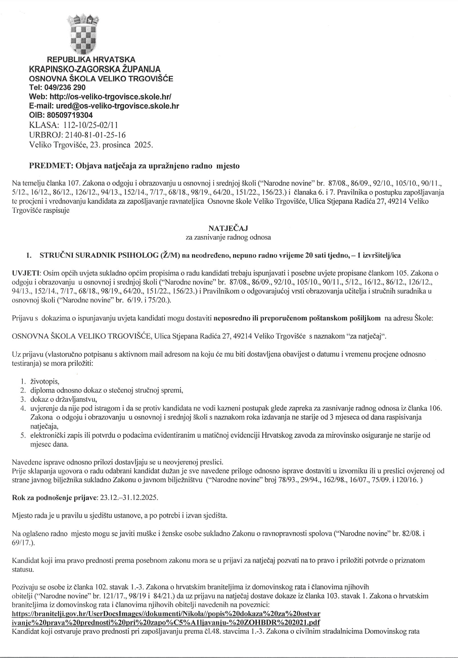
NATJEČAJ- STRUČNI SURADNIK PSIHOLOG
NATJEČAJ
za zasnivanje radnog odnosa
1. STRUČNI SURADNIK PSIHOLOG (ž / m) na neodređeno, nepuno radno vrijeme 20 sati tjedno, - 1 izvršitelj/ica
NATJEČAJ
NATJEČAJ
za zapošljavanje osoba za obavljanje poslova pomoćnika u nastavi za učenika s teškoćama u razvoju tijekom školske godine 2025./2026. u sklopu provedbe projekta „Baltazar 8“
POMOĆNIK U NASTAVI ZA UČENIKE S TEŠKOĆAMA U RAZVOJU
Broj traženih osoba: 1 pomoćnik u nastavi
Mjesto rada: Osnovna škola Veliko Trgovišće
Radno vrijeme: nepuno radno vrijeme od 27 sata tjedno
:: opširnije ::
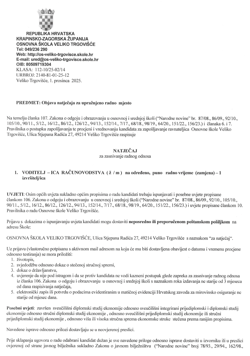
VODITELJ-ICA RAČUNOVODSTVA
O D L U K A
o obustavi postupka
po natječaju za radno mjesto voditelj računovodstva
NATJEČAJ
za zasnivanje radnog odnosa
1. VODITELJ-ICA RAČUNOVODSTVA (ž / m) na određeno, puno radno vrijeme (zamjena)- 1 izvršitelj/ica
:: opširnije ::
STRUČNI SURADNIK PSIHOLOG
SARŽAJ I NAČIN TESTIRANJA, PRAVNE I DRUGE IZVORE
ZA PRIPREMANJE KANDIDATA ZA TESTIRANJE
NATJEČAJ
za zasnivanje radnog odnosa
1. STRUČNI SURADNIK PSIHOLOG (ž / m) na neodređeno, nepuno radno vrijeme 20 sati tjedno, - 1 izvršitelj/ica
OPERATIVNI DJELATNIK - ICA ZA SIGURNOST I CIVILNU ZAŠTITU
NATJEČAJ
za zasnivanje radnog odnosa
1. OPERATIVNI DJELATNIK - ICA ZA SIGURNOST I CIVILNU ZAŠTITU (ž / m) na određeno, puno radno vrijeme u trajanju od 3 godine
NATJEČAJ-OPERATIVNI DJELATNIK - ICA ZA SIGURNOST I CIVILNU ZAŠTITU
SARŽAJ I NAČIN TESTIRANJA, PRAVNE I DRUGE IZVORE
ZA PRIPREMANJE KANDIDATA ZA TESTIRANJE
NATJEČAJ
za zasnivanje radnog odnosa
1. OPERATIVNI DJELATNIK - ICA ZA SIGURNOST I CIVILNU ZAŠTITU (ž / m) na neodređeno, puno radno vrijeme - 1 izvršitelj/ica
VODITELJ-ICA RAČUNOVODSTVA
Odluka o neizboru kandidata po natječaju za radno mjesto voditelj računovodstva
NATJEČAJ
za zasnivanje radnog odnosa
1. VODITELJ-ICA RAČUNOVODSTVA (ž / m) na određeno, puno radno vrijeme (zamjena)- 1 izvršitelj/ica
NATJEČAJ za zasnivanje radnog odnosa 1. UČITELJ-ICA RAZREDNE NASTAVE U PRODUŽENOM BORAVKU (ž / m)
SARŽAJ I NAČIN TESTIRANJA, PRAVNE I DRUGE IZVORE
ZA PRIPREMANJE KANDIDATA ZA TESTIRANJE
NATJEČAJ
za zasnivanje radnog odnosa
1. UČITELJ-ICA RAZREDNE NASTAVE U PRODUŽENOM BORAVKU (ž / m) - 1 izvršitelj/ica na određeno, puno radno vrijeme - 40 sati tjedno
NATJEČAJ za zasnivanje radnog odnosa- DOMAR - ICA (ž / m)
NATJEČAJ
za zasnivanje radnog odnosa
1. DOMAR - ICA (ž / m) - 1 izvršitelj na određeno, nepuno radno vrijeme - 20 sati tjedno - 1 izvršitelj/ica
NATJEČAJ za zasnivanje radnog odnosa - KUHAR - ICA
SARŽAJ I NAČIN TESTIRANJA, PRAVNE I DRUGE IZVORE
ZA PRIPREMANJE KANDIDATA ZA TESTIRANJE
NATJEČAJ
za zasnivanje radnog odnosa
1. KUHAR - ICA (ž / m) - 1 izvršitelj na određeno, puno radno vrijeme - 40 sati tjedno - 1 izvršitelj/ica
NATJEČAJ za zasnivanje radnog odnosa 1. UČITELJ-ICA RAZREDNE NASTAVE (ž / m)
SARŽAJ I NAČIN TESTIRANJA, PRAVNE I DRUGE IZVORE
ZA PRIPREMANJE KANDIDATA ZA TESTIRANJE
NATJEČAJ
za zasnivanje radnog odnosa
1. UČITELJ-ICA RAZREDNE NASTAVE (ž / m) - 1 izvršitelj/ica na neodređeno, puno radno vrijeme - 40 sati tjedno
NATJEČAJ
NATJEČAJ
za zapošljavanje osoba za obavljanje poslova pomoćnika u nastavi za učenika s teškoćama u razvoju tijekom nastavne godine 2025./2026. u sklopu provedbe projekta „Baltazar 8“
POMOĆNIK U NASTAVI ZA UČENIKE S TEŠKOĆAMA U RAZVOJU
Broj traženih osoba: 1 pomoćnik u nastavi
Mjesto rada: Osnovna škola Veliko Trgovišće
Radno vrijeme: nepuno radno vrijeme od 27 sata tjedno
Poziv na razgovor PUN 2025. - 27 sati tjedno
:: opširnije ::
Baltazar 8
NATJEČAJ
za zapošljavanje osoba za obavljanje poslova pomoćnika u nastavi za učenika s teškoćama u razvoju tijekom nastavne godine 2025./2026. u sklopu provedbe projekta „Baltazar 8“
POMOĆNIK U NASTAVI ZA UČENIKE S TEŠKOĆAMA U RAZVOJU
Broj traženih osoba: 1 pomoćnik u nastavi
Mjesto rada: Osnovna škola Veliko Trgovišće
Radno vrijeme: nepuno radno vrijeme od 33 sata tjedno
Poziv na razgovor PUN 2025. - 33 sata tjedno
POMOĆNIK U NASTAVI ZA UČENIKE S TEŠKOĆAMA U RAZVOJU
Broj traženih osoba: 2 pomoćnika u nastavi
Mjesto rada: Osnovna škola Veliko Trgovišće
Radno vrijeme: nepuno radno vrijeme od 27 sata tjedno
Poziv na razgovor PUN 2025. - 27 sati tjedno
POMOĆNIK U NASTAVI ZA UČENIKE S TEŠKOĆAMA U RAZVOJU
Broj traženih osoba: 1 pomoćnik u nastavi
Mjesto rada: Osnovna škola Veliko Trgovišće
Radno vrijeme: nepuno radno vrijeme od 26 sata tjedno
Poziv na razgovor PUN 2025. - 26 sati tjedno
POMOĆNIK U NASTAVI ZA UČENIKE S TEŠKOĆAMA U RAZVOJU
Broj traženih osoba: 2 pomoćnika u nastavi
Mjesto rada: Osnovna škola Veliko Trgovišće
Radno vrijeme: nepuno radno vrijeme od 23 sata tjedno
Poziv na razgovor PUN 2025. - 23 sata tjedno
:: opširnije ::
NATJEČAJ
Odluka o neizboru kandidata po natječaju za radno mjesto kuhar
NATJEČAJ
za zasnivanje radnog odnosa
1. KUHAR - ICA (ž / m) - 1 izvršitelj na određeno, puno radno vrijeme - 40 sati tjedno - 1 izvršitelj/ica
NATJEČAJ
O D L U K A
o neizboru kandidata po natječaju za radno mjesto kuhar - ica
NATJEČAJ
za zasnivanje radnog odnosa
1. KUHAR - ICA (ž / m) - 1 izvršitelj na određeno, puno radno vrijeme - 40 sati tjedno - 1 izvršitelj/ica
Dnevni tisak | ![]() |
Školstvo | ![]() |
| • Portal za škole |
| • Zavod za školstvo RH |
| • Ministarstvo znanost... |
| • Učitelji |
| • Odlikaši.hr |
| • Pitajte knjižničare |
![]() |
| • Youtube |
| • Blog |
| • Zaštitimo naš planet |
| • Khan Wars |
| • Imperia Online |